一、案情简介
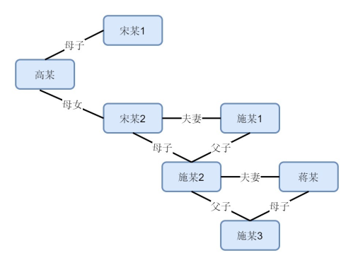
本案系争房屋系公有租赁居住房屋,承租人为高某(本案被告)。高某系宋某2(本案原告)、宋某1(本案被告)的母亲。宋某2与施某1(本案原告)系夫妻关系,施某2(本案原告)两人之子。施某2与蒋某系(本案原告)夫妻关系,施某3(本案原告)系两人之子。前述七人户籍均在系争房屋
二、人物关系图
![]()
2016年10月29日,高某作为公房承租人与上海市杨浦区住房保障和房屋管理局(房屋征收实施单位:上海市杨浦第三房屋征收服务事务所有限公司)签订了《上海市国有土地上房屋征收补偿协议》,协议约定该户征收补偿款2,843,950元,该户获得上海市松江区大官塘路XXX弄XXX号XXX室(三室一厅)、上海市松江区大官塘路XXX弄XXX号XXX室(二室一厅)、上海市松江区大官塘路XXX弄XXX号XXX室(二室一厅)三套房屋。另,该户还获得期房过渡费及超期交房增补费。协议明确,该户不符合居住困难户的条件。
后原告宋某2、施某1、施某2、蒋某、施某3与被告高某、宋某1就本案征收补偿利益分配发生纠纷,原告遂诉至法院。
三、双方观点
原告认为,五原告均为系争房屋的共同居住人(以下“共同居住人”与“同住人”同义),依法享有征收补偿利益,应获得故原告应订购上海市松江区大官塘路XXX弄XXX号XXX室、XXX室两套房屋,并获得动迁款650,000元及其订购两房的期房过渡费及超期交房增补费合计248,400元。
被告方不同意原告方的诉讼请求,认为施某1、施某2对系争房屋没有贡献,且施某2与蒋某的户籍迁入系争房屋时,大家曾口头约定,如系争房屋动迁,则施某2与蒋某不享受动迁利益。施某3从未在系争房屋内居住过。故系争房屋的动迁补偿款应当由高某、宋某1、宋某2三人均分,各得947,984元;选购的三套房屋,由高某、宋某1各订购一套二室一厅的房子,由原告宋某2、施某1、施某2、蒋某、施某3订购一套三室一厅的房子,该房自2016年11月至2021年4月的期房过渡费151,200元同意支付给原告。
四、裁判结果
一审法院认为,本案系争房屋为公有租赁居住房屋,承租人为高某。宋某1在系争房屋内实际居住满一年,应认定为同住人。根据他案民事判决书查明事实及该案中施某1、宋某2的辩称部分,施某1、宋某2、施某2自1992年居住于宁武路XXX号仓库内,本案审理中原告方自述2000年在外购房后,也未有在系争房屋内居住,故难以认定施某1、施某2为系争房屋的同住人。原告蒋某、施某3的户籍虽在系争房屋内,但并未实际居住,故不予认定为同住人。结合被拆迁房屋的性质和来源,住房、生活以及安置对象在动迁安置时的不同身份、实际居住情况等具体因素及当事人在本案诉讼的表态,系争房屋获得的动迁安置房、补偿款及其他费用由高某、宋某1、宋某2三人获得。
二审法院认为,施某1的户籍于1994年12月迁入系争房屋,根据他案查明事实显示,宋某2、施某1及施某2自1992年起就居住他处,之后并无实际居住系争房屋,由于施某1在其户籍迁入系争房屋后未实际居住系争房屋,故不属于系争房屋同住人。即使宋某2户所称施某2于1992年之前曾居住系争房屋属实,施某2也仅在其未成年时居住,因其成年后未实际居住系争房屋,其亦不属于系争房屋同住人。一审法院综合系争房屋的性质和来源,各当事人实际居住状况及征收补偿利益具体构成等因素,酌情确定各方当事人可分得的征收补偿利益份额,所作分配已保障了各方当事人的合法权益,予以认同,遂裁定:驳回上诉,维持原判。
五、案例评析
本案中,宋某2认定为共同居住人,应无疑义,原被告双方对此并无争议。蒋某、施某3并未在系争公有租赁居住房屋居住,两人非为共同居住人,从现行法律法规之规定来看应无争议,故本案实际的争议焦点是施某1、施某2是否系争公有租赁居住房屋的共同居住人。对此,我们具体分析如下:
一、关于共同居住人的相关规定
《上海市国有土地上房屋征收与补偿实施细则》(以下简称《实施细则》)第四十四条规定,公有房屋承租人所得的货币补偿款、产权调换房屋归公有房屋承租人及其共同居住人所有。《实施细则》第五十一条规定,共同居住人,是指作出房屋征收决定时,在被征收房屋处具有常住户口,并实际居住生活一年以上(特殊情况除外),且本市无其他住房或者虽有其他住房但居住困难的人。
关于上述规定中的“其他住房”,上海市高级人民法院《关于房屋征收补偿利益分割民事纠纷研讨会会议纪要》(沪高法民〔2020〕4号;以下简称《会议纪要》)第一条规定,为鼓励居住困难的人通过自己努力改善居住条件,这里的“其他住房”应限定为福利性质的房屋,公房同住人在他处购买的商品房不属于“他处有房”。
关于何谓“福利性质的房屋”?《会议纪要》没有明确。根据上海市高级人民法院《关于房屋动拆迁补偿款分割民事案件若干问题的解答》(沪高法民一〔2004〕3号;以下简称《若干问题的解答》)之规定,福利性质取得的房屋,包括原承租的公有住房、计划经济下分配的福利房、自己部分出资的福利房,房款的一半以上系用单位的补贴所购买的商品房,公房被拆迁后所得的安置房(包括自己少部分出资的产权安置房),以及按公房出售政策购买的产权房等。
根据上述规定,可进一步理解如下:公有租赁居住房屋的共同居住人是指
作出房屋征收决定时,在被征收房屋处具有常住户口,并实际居住生活一年以上(特殊情况除外),且本市无福利性质的住房或者虽有福利性质的住房但居住困难的人。
作为例外情形,《若干问题的解答》第四条规定了“承租人或同住人允许他人未成年子女在自己承租的公房内居住的,一般可认定为属于帮助性质,并不当然等于同意该未成年人取得房屋的权利份额,除非其能够提供证据证明其居住权并非基于他人的帮助而取得;当事人对该未成年人居住的相关问题另有约定的,依约定处理”。根据前述规定,对于符合上述共同居住人标准的承租人或共同居住人以外的他人的未成年子女,不认定为共同居住人,除非其能证明非基于承租人或同住人的帮助而居住在公有租赁居住房屋、或当事人约定其为共同居住人。
二、关于施某1、施某2是否系争公有租赁居住房屋的共同居住人
对于施某1、施某2,一、二审判决查明事实部分虽未认定施某1、施某2在1992年之前居住在系争房屋,但从施某1、施某2与宋某1系一个家庭等情况来看,两人在1992年之前在系争房屋居住一年以上可资认定。根据上述规定,施某1与施某2似可认定为共同居住人,但一、二审法院均基于两者的具体情况而未认定两者为共同居住人,进一步分析如下:
1、 对于施某1,二审判决认为“施某1在其户籍迁入系争房屋后未实际居住系争房屋,故不属于系争房屋同住人”。从二审判决的前述意见来看,即使曾经居住公有租赁居住房屋满一年,但户籍迁入公有租赁居住房屋后未再实际居住该房屋的,不能认定为共同居住人。我们认为,《若干问题的解答》第五条规定了“具有本市常住户口,至拆迁许可证核发之日,因结婚而在被拆迁公有住房内居住的,即使居住未满一年,也视为同住人”与“一般情况下,在本市无常住户口,至拆迁许可证核发之日,因结婚而在被拆迁公有住房内居住满五年的,也视为同住人”,本案中的施某1较前两种“视为同住人”情形的人员更符合或接近共同居住人的规定要求,前述判决意见不认定施某1为共同居住人有失公允。
2、对于施某2,二审判决认为“即使宋某2户所称施某2于1992年之前曾居住系争房屋属实,施某2也仅在其未成年时居住,因其成年后未实际居住系争房屋,其亦不属于系争房屋同住人”。从前述判决意见来看,对于共同居住人的子女,在未成年时居住公有租赁居住房屋但成年后未再实际居住该房屋的,不认定为共同居住人。我们认为,从《若干问题的解答》第四条来看,承租人或共同居住人的未成年子女在符合共同居住人规定要求之情形应认定为共同居住人,否则规定“承租人或同住人以外的他人未成年子女”的共同居住人认定规则将无任何意义;而前述判决意见以施某2“成年后未再居住公有租赁居住房屋”而否定其为共同居住人与前述规定相悖,颇值进一步探讨。
综上,《会议纪要》与《若干问题的解答》虽就关于共同居住人的认定要求进行了规定,但实践中需要界定共同居住人的情形复杂多样,个案的裁判亦有与前述规定不一致或“同案不同判”情况出现,对于解决前述问题,我们倾向于建议司法机关在处理具体案件时宜根据《最高人民法院关于统一法律适用加强类案检索的指导意见(试行)》规定之精神做好类案检索后以适法裁判或就实践中复杂多样的共同居住人争议情形分类界定并确立相应司法规范,以实现同案同判,司法公平。





沪公网安备 31010402007129号