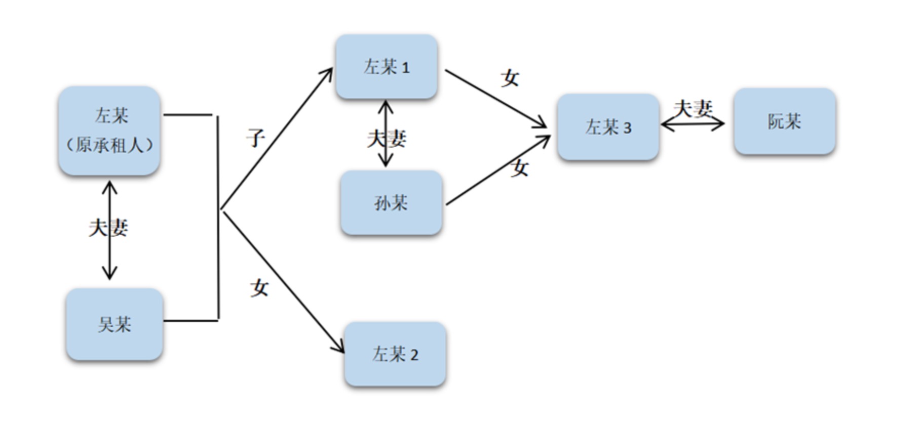
一、人物关系图

二、案件事实
1、房屋情况:涉案房屋为公房,为1996年左某1、左某2的母亲吴某承租的公房拆迁安置所得,原由左某1、左某2的父亲左某(2011年死亡)承租。2014年,涉案房屋的承租人经协商一致变更为左某1。涉案房屋长期由左某1出租。
2、在册户籍人口情况:涉案房屋内有户籍人口为左某1、孙某、左某3、阮某、左某2。左某1与孙某系夫妻,左某3系二人之女,阮某系左某3的丈夫,左某2系左某1的姐姐。
3、征收情况:2016年12月,涉案房屋被纳入征收范围。2017年9月,左某1与房屋征收部门签订《房屋征收补偿协议》(以下简称征收协议)。按征收协议,涉案房屋建筑面积15.10平方米,价值补偿款1,250,744.48元,装潢补偿7,550元;该户选择房屋产权调换。
4、他处福利情况:
--1998年8月,左某1承租公房拆迁,安置对象为左某1、孙某、左某3共三人,左某1、孙某、左某3共同共有该产权房屋。
--2015年6月,阮某及其父母因征收获得三套产权调换房屋,建筑面积合计242.47平方米。
--2003年1月,左某2曾在其婆母承租的公房拆迁中获得货币安置,其曾购买产权房,现已出售。
三、本案争议焦点
左某2是否有权分得涉案房屋的征收补偿利益?
四、一审法院观点
左某1、孙某、左某3在涉案房屋被征收前户籍在册,但均系自他处拆迁安置房屋中迁入涉案房屋,未在涉案房屋实际居住,且享受过拆迁安置,不符合涉案房屋的共同居住人条件。阮某虽户籍在册,亦从未居住涉案房屋,且与涉案房屋的来源毫无关联,不符合涉案房屋的共同居住人条件,无权分得涉案房屋的征收利益。左某2亦从未居住涉案房屋,且曾享受过公房的拆迁安置,同样不符合涉案房屋的共同居住人条件。左某1虽于2014年经家庭协商一致成为涉案房屋的承租人,但当时左某2亦户籍在册,双方与原始承租人的关系及在承租人资格继受方面地位相同,如果仅以左某1经协商成为涉案房屋的承租人便认定全部征收利益归其所有,无疑将导致利益失衡。因此,左某2与左某1均有权分得涉案房屋的征收利益。因涉案房屋长期由左某1出租及管理,故与搬迁相关的奖励由左某1取得。......酌情确定产权调换房屋由左某1、左某2共同分得,左某1还应分得货币补偿款60,000元。结合案件实际情况,因左某2分得的产权调换房屋价值超过其应分得的征收补偿利益,故应承担向征收单位支付房屋产权调换差价款及向左某1给付相应的货币补偿款。
五、一审法院判决
--上海市XX路XX弄XX号XX室产权调换房屋由左某1、左某2按份共有,各占1/2产权份额;
--应向房屋征收部门支付的房屋产权调换差价款由左某2负担,左某2于判决生效之日起十日内支付左某1补偿款60,000元。
六、二审法院观点
孙某方已经享受过拆迁或征收补偿利益,且在其户籍迁入系争房屋后未实际居住,一审法院据此认定孙某方不属于系争房屋共同居住人,并无不妥。左某1与左某2均曾享受过拆迁安置,且在户籍迁入系争房屋后亦未实际居住,在左某1成为承租人之前,左某1与左某2均不符合系争房屋共同居住人的条件。原承租人去世后,经家庭协商一致,左某1成为系争房屋承租人。鉴于左某1与左某2原地位相仿,如仅因其中一人经协商一致成为承租人,继而取得系争房屋全部的征收补偿利益,存在明显利益失衡。一审法院综合系争房屋的来源、居住状况、承租人变更经过及当事人他处房屋情况等因素,从平衡双方利益出发,确定征收补偿利益在左某1与左某2之间分配,亦无不妥,鉴于左某1实际管理并出租系争房屋,一审法院认定左某1可适当多分,本院予以认同。左某1上诉以左某2不属于共同居住人为由,主张全部征收补偿利益应归其所有,理由不能成立,本院不予支持。虽然变更承租人时,孙某、左某3的户籍在册,但其与原始承租人的关系及在承租人资格继受方面与左某1、左某2地位并不相同,而阮某的户籍系于承租人变更后迁入,在此情况下,孙某方上诉主张全部征收补偿利益应由在案五位当事人均分,缺乏相应依据,本院不予采纳。
七、、二审法院判决
驳回上诉,维持原判。
八、律师评析
1、本案中,虽然左某1为现承租人,其他户籍在册人员不符合共同居住人条件,但左某1并不能获得全部征收补偿利益。究其原因,一是左某2与左某1与原承租人关系及在承租人资格继受方面地位相同;二是在变更承租人时,左某1与左某2协商一致后,确定左某1成为现承租人,即二人在继受承租人资格时地位并无优先顺序。若因左某1系现承租人而左某2不符合同住人条件,将全部征收补偿利益全部归左某1所有,明显会导致利益失衡。本案体现了法院在平衡户籍在册人员之间分割征收补偿利益方面较高的审判智慧。
2、法院在其他案件中持有上述类似观点:
在(2018)沪0109民初2XXXX号案件中,一审法院认为: 虽然徐某户籍在系争房屋中,然徐某从未居住系争房屋,......故徐某不符合系争房屋同住人条件。同样,王某虽户籍在册,亦未实际长期居住系争房屋,其家庭享受过XX路房屋的住房福利,故王某亦不符合系争房屋同住人条件。系争房屋的原承租人及受配人均已去世,王某在征收前被指定为系争房屋新的承租人,但仅具有代表该户签订征收协议的职能。从承租人地位继受的资格上看,王某与徐某并无区别。若仅以王某在征收前被确定为承租人,便认定全部征收利益归其一人所有,将导致利益失衡。综合考量系争房屋的来源、各方对房屋的贡献、居住状况等因素,法院酌情确定徐某分得系争房屋征收补偿款1,400,000元。二审法院以(2020)沪02民终1XXXX号判决维持了一审判决。





沪公网安备 31010402007129号